321-5500 Σήματα και Συστήματα (Signals and Systems)


Γενικές πληροφορίες Ανακοινώσεις Ασκήσεις και τεστ Υλη του μαθήματος

ΑΝΑΚΟΙΝΩΣΕΙΣ

13/12 Την Τετάρτη 10/01/01 στις 6-8 μμ θα γίνει το τελευταίο θεωρητικό μάθημα (δυναμικές εξισώσεις). Την Πέμπτη 11/01/01 στις 9-12 θα γίνει ένα εργαστήριο (MatLab) στο υπόγειο της Εμπορικής.

13/12 Στη Γραμματεία υπάρχουν φωτοτυπίες για διαφορικές εξισώσεις (γενικά) και μετασχηματισμό Laplace.

13/12 Εχει δοθεί η 3η ομάδα ασκήσεων με ημερομηνία παράδοσης την Τετάρτη 10/01/01.

28/11 Μπορείτε να βρείτε τις λύσεις των ασκήσεων και τις διαφάνειες του μαθήματος εδώ.

28/11 Υπενθυμίζω ότι στην αυριανή πρόοδο πρέπει ο καθένας σας να έχει μαζί του: Το βιβλίο του μαθήματος, ένα κομπιουτεράκι και ότι άλλα βιβλία ή σημειώσεις θέλετε. Δεν μπορείτε να μοιράζεστε αυτά τα είδη.

21/11 Την Τετάρτη 22/11 στις 4-6 μμ θα γίνει έκτακτο φροντιστηριακό μάθημα. Το θεωρητικό μάθημα της Πέμπτης 23/11 θα γίνει στις 10-12 πμ.

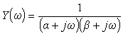
14/11 Για να υπολογίσουμε τον αντίστροφο Fourier μιας ρητής συνάρτησης του jω, μπορούμε να την αναλύσουμε σε απλά κλάσματα. Π.χ. αν

τότε μπορούμε να γράψουμε:
Από τις δύο προηγούμενες σχέσεις προκύπτει ότι αc2 + βc1 = 1 και c1 + c2 = 0, οπότε
c1 = 1/(β–α) και c2 = –1/(β–α). Ετσι τελικά για α Ή β:

09/11 Η εξέταση προόδου στο μάθημα θα διεξαχθεί την Τετάρτη 29/11 στις 6-8 μμ. Μπορείτε να έχετε μαζί σας βιβλία και σημειώσεις (όχι όμως να τα μοιράζεστε).

09/11 Ημερομηνία παράδοσης της δεύτερης άσκησης: 16/11. Διαφάνειες του μαθήματος για τον μετασχηματισμό Fourier.

19/10 Εχει δοθεί η πρώτη άσκηση. Ημερομηνία παράδοσης: 26/10.

18/10 Οι διαφάνειες των πρώτων δύο μαθημάτων και τα αντίστοιχα προγράμματα του MatLab βρίσκονται εδώ.

05/10 Πρώτο μάθημα (Welcome!)
 

Dr Leros home page

ICSD home page